BTSのニューアルバム『BE』が20日金曜にリリースされました。同日公開された、アルバムからのリード曲「Life Goes On」のミュージックビデオには、ファンを中心に称賛の声が多くあがっています。
【会見レポート】BTSがARMYと一緒に作った「BE」に込めた思い明かす、グラミー賞ノミネートへ期待https://t.co/pjEqpfyCdv
— 音楽ナタリー (@natalie_mu) 2020年11月20日
#BTS #BTS_BE pic.twitter.com/WoxO3Hv845
先行曲「Dynamite」は米ビルボードソングスチャートで自身初の首位を獲得し、2ヶ月に渡ってトップ10入り。BTSの所有指標の強さについては米チャート動向を追いかけている弊ブログで紹介している通りですが、「Dynamite」がラジオエアプレイで自身初のトップ50位以内に入ったことで、BTSは米において次のフェーズに入ったと言えるでしょう。一方でアメリカ以外の海外ではより接触指標に長けておりロングヒット中。日本でも「Dynamite」はストリーミングや動画再生指標が牽引し、ビルボードジャパンソングスチャートでは最高2位、さらに13週連続でトップ10入りを果たしています。ビルボードジャパンソングスチャートでのチャート推移(CHART insight)は下記に。

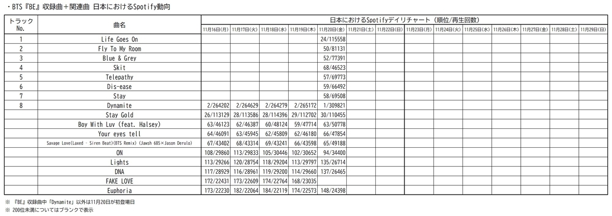
こうなると注目は、先行曲やリード曲を含む『BE』収録曲のチャート動向。先述の通り米では所有指標に長けているBTSですが、接触指標でも上位をキープできれば収録曲すべてが米ビルボードソングスチャート100位以内に入ることも予想されます。というわけで、日米、そしてグローバルのSpotifyの動向をチェックします。

アルバムリリースは日本時間の20日14時となり、日本のデイリーチャートでは同日の再生回数がいささか不利になるものと考えましたが、「Dynamite」は11月15日日曜以来となる30万台を突破し、LiSA「炎」からおよそ1ヶ月ぶりに首位の座を奪還しています。また収録曲は最も低い「Skit」でも68位ゆえ、勢いをキープすれば日曜まで全曲100位以内をキープする可能性は十分です。
日本では月曜以降200位以内に入っていた曲の多くが金曜に上昇。一方で日本オリジナル曲の3曲のうち「Stay Gold」「Lights」の20日の再生回数は前日からダウンしており、アルバム効果があまり反映されていない可能性があります。尤もこの動向は、翌週までチェックした上で判断する必要があります。

アメリカおよびグローバルでは『BE』収録曲の勢いがより凄まじく、米では「Skit」(63位)を除けば最も低い「Stay」が23位、グローバルではその「Skit」が21位に登場。米ビルボードでは日本時間の12月1日発表予定となる12月5日付ソングスチャートで、「Skit」以外が100位以内に登場する可能性を秘めています。また米ビルボードが9月に新設したグローバルソングスチャート(12月5日付)ではより高い位置に登場することでしょう。このタイミングで、グローバルのSpotifyデイリーチャートではこれまでのヒット曲が再浮上を果たしています。
(なお、グローバルのSpotifyデイリーチャートで、BTSのSUGAが参加したMAX「Blueberry Eyes」がダウンしているのは個人的には残念です。9月リリースの新曲における私的トップ10ソングスプレイリストで4位に選んでいるほど素晴らしい曲ゆえ。またMAXはgnash(ナッシュ)との「Lights Down Low」も素晴らしい曲ですので、BTS経由でMAXやgnashにも注目が集まって欲しいと思っています。ちなみに、gnashについては昨日、Real Soundに記事を寄稿しました。「Lights Down Low」の見事なミュージックビデオも確認できますので是非→TikTok発信の新たな台頭 gnash「imagine if」の多角的な波及が導く、日本でのさらなるヒット - Real Sound|リアルサウンド(11月21日付))
日本やアメリカ、そしてグローバルソングスチャートでアルバム『BE』の収録曲のうち大半、もしくは全曲が100位以内エントリーを果たすと見込まれるのは、アルバムそして歌手自身に勢いのある証拠。その動向を注視して行こうと思います。
ちなみに、日本のチャートにおける注目点は他にも。

日本におけるチャート推移(CHART insight)から、総合およびカラオケ指標を抜き出したものが上記。実は「Dynamite」、カラオケ指標が10月19日付で300位以内に初めてランクインを果たすと、11月16日付では初の100位以内(86位)に登場しています。洋楽のカラオケ指標300位以内登場は、日本でドラマ主題歌に起用されたことで総合7位を記録したビリー・アイリッシュ「Bad Guy」(CHART insightはこちら)でも果たせなかった快挙であり、如何に日本で浸透しているかが解ります。この点においても、BTSは日本においてさらなるステップアップを果たせたと言えるでしょう。